Wie Sie den richtigen Studiomonitor auswählen
Die Definition eines Monitors umfasst die Beobachtung, Prüfung, Kontrolle, Bewertung und kontinuierliche Analyse eines Signals. Ein Audiomonitor ist also mehr als einfach nur ein gut klingender Lautsprecher. Er kommt immer dann zum Einsatz, wenn präzises Abhören gefragt ist – beim Aufnehmen, Mischen oder Übertragen von Audiosignalen. Ein Monitorlautsprecher ist ein professionelles Werkzeug.
Die Aufgabe eines Studiomonitors ist es, die Wahrheit eines Quellsignals zu enthüllen. Er darf nichts hinzufügen, nichts entfernen und nichts maskieren. Ein solcher Monitor sollte an einer optimalen Position im Raum aufgestellt werden, um Einflüsse aus der Umgebung zu minimieren. Was wir tatsächlich hören, ist die Kombination aus unserer Hörfähigkeit, der Wiedergabe des Monitors und der Akustik des Raums.
Grundlagen des Schalls
Schall ist letztlich ein Druck, der sich in einer Folge von Wellen ausbreitet, die durch komprimierbare Medien wie Luft oder Wasser laufen. Schall breitet sich mit etwa 344 m/s (1130 ft/s) aus. Es dauert 3 ms, bis der Schall 1 Meter zurückgelegt hat (3,3 ft).
Unter Freifeldbedingungen (keine Wände, Böden oder Decken) nimmt die Lautstärke des Schalls um 6 dB ab, wenn sich die Entfernung verdoppelt.
| Entfernung | Schallpegel | Pegelabfall |
|---|---|---|
| 1 m | 100 dB | 0 dB |
| 2 m | 94 dB | -6 dB |
| 4 m | 88 dB | -12 dB |
Der Schallpegel steigt um 3 dB, wenn sich die Verstärkerleistung verdoppelt.
| Verstärkerleistung | Schallpegel | Pegelzunahme |
|---|---|---|
| 100 W | 85 dB | 0 dB |
| 200 W | 88 dB | +3 dB |
| 400 W | 91 dB | +6 dB |
Der branchenübliche Referenzschalldruckpegel (SPL) für Kino- und TV-Tonproduktionen liegt zwischen 82 und 85 dB an der Hörposition.
Frequenzspektrum
Das Frequenzspektrum eines elektrischen Signals ist nach der Definition des Collins Online-Wörterbuchs "die Verteilung der Amplituden und Phasen jeder Frequenzkomponente über die Frequenz". Das hörbare Frequenzspektrum umfasst 10 Oktaven (bis 40 Hz, 80, 160, 320, 640, 1'280, 2'560, 5'120, 10'240, 20'480 Hz), die das Spektrum wie folgt unterteilen können.
| Infraschall- Bassfrequenzen | unter 16 Hz | Für Menschen unhörbar. | |
| Sehr tiefe Frequenzen | 16 Hz – 40 Hz 40 Hz – 80 Hz |
Tiefste für den Menschen hörbare Oktave. Tiefe Frequenzen von Musik, Bass-Drum, Bassinstrumente |
|
| Tiefe Frequenzen | 80 Hz – 160 Hz 160 Hz – 320 Hz |
Tiefes Register eines Flügels. Mittleres C eines Pianos. |
|
| Mittenfrequenzen | 320 Hz – 1’280 Hz | Mittenfrequenzen von Musik | |
| Obere Mittenfrequenzen | 1’280 Hz – 2’560 Hz 2’560 Hz – 5’120 Hz |
Obertöne niedriger Ordnung der meisten Instrumente. Das Ohr ist in diesem Bereich am empfindlichsten. |
|
| Hohe Frequenzen | 5’120 Hz – 10’240 Hz | Helligkeit und Obertöne | |
| Sehr hohe Frequenzen | 10’240 Hz – 20’480 Hz | Höchste Obertöne. Oberhalb von 20 kHz unhörbar für Menschen |
Schallausbreitung
Bei tiefen Frequenzen, typischerweise unterhalb von 200 Hz, strahlen Lautsprecher den Schall kugelförmig (omnidirektional) ab, er breitet sich also mit demselben Schalldruck in alle Richtungen um den Lautsprecher herum aus. Bei höheren Frequenzen wird die Abstrahlcharakteristik zunehmend gerichtet. Mittlere Frequenzen breiten sich halbkugelförmig und sehr hohe Frequenzen kegel- oder strahlförmig aus. Genelec-Monitorlautsprecher zeichnen sich durch ein sehr kontrolliertes Abstrahlverhalten aus, was Veränderungen der Abstrahlcharakteristik im Frequenzverlauf minimiert.
Die folgende Abbildung zeigt die Schallwellenausbreitung in verschiedenen Frequenzbereichen.

Weitere Informationen über die Bedeutung der Abstrahlung für die Aufstellung von Lautsprechern finden Sie im Abschnitt "Aufstellung von Studiomonitoren" im Absatz "Schallabstrahlung".
Auswahl von Studiomonitoren
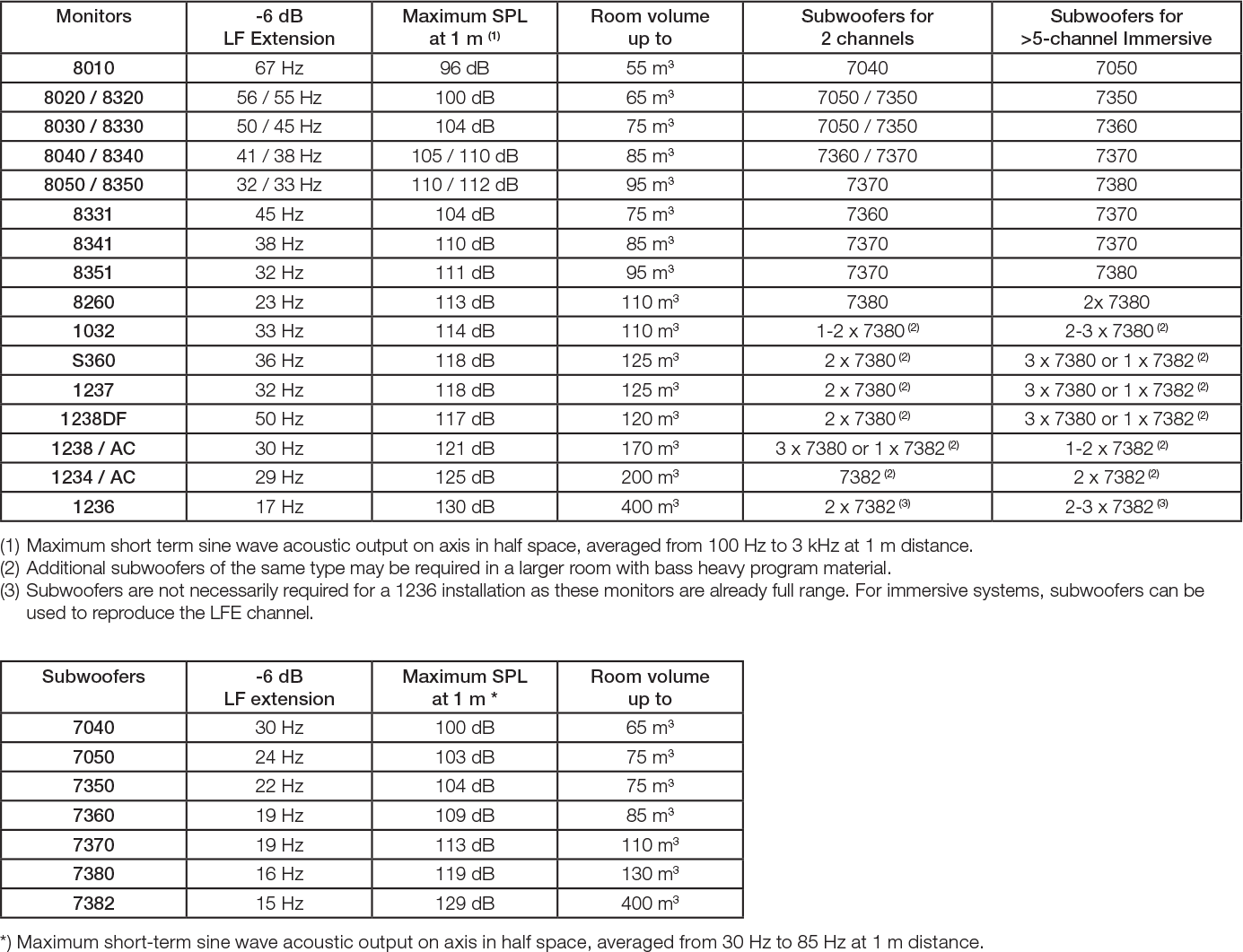
Genelec empfiehlt Monitorlautsprecher auf Basis typischer Abhördistanzen und Schalldruckpegel und hält auch passende Subwoofer für die einzelnen Modelle bereit. Detaillierte Informationen und Unterstützung bieten unsere Online-Tools oder Ihr regionaler Genelec-Fachhändler bzw. -Vertrieb. Im Folgenden möchten wir Ihnen einige Tipps an die Hand geben, um die Abhördistanz und optimale Hörumgebung für Ihr Studio zu bestimmen.
Schalldruckpegel
Der Abstand zwischen Ihnen und Ihren Studiomonitoren ist entscheidend, sowohl für die Leistung als auch für den Schalldruckpegel, der an der Hörposition ankommt. Verwenden Sie die folgende Tabelle, um die SPL-Eigenschaften der Genelec-Monitore zu vergleichen. Unsere Fachhändler und Distributoren können Ihnen bei der Auswahl der richtigen Monitore für Ihren individuellen Raum weiterhelfen. Dies sind nur allgemeine Richtlinien.

Direktschall-Dominanz
Die Balance zwischen Direktschall und Diffusschall hat einen großen Einfluss darauf, wie Ihre Mischungen klingen werden. Diese Tabelle hilft Ihnen dabei, den optimalen Hörabstand für die jeweiligen Genelec-Modelle zu ermitteln.

Leistungsübersicht
In den Übersichtstabellen mit den Leistungsdaten geben wir auf der Grundlage des Raumvolumens Empfehlungen, welche Genelec-Produkte am besten in Räumen welcher Größe funktionieren.
